



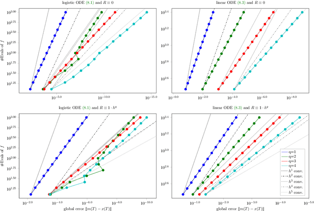
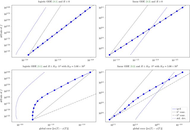
A recently-introduced class of probabilistic (uncertainty-aware) solvers for ordinary differential equations (ODEs) applies Gaussian (Kalman) filtering to initial value problems. These methods model the true solution $x$ and its first $q$ derivatives a priori as a Gauss--Markov process $\boldsymbol{X}$, which is then iteratively conditioned on information about $\dot{x}$. We prove worst-case local convergence rates of order $h^{q+1}$ for a wide range of versions of this Gaussian ODE filter, as well as global convergence rates of order $h^q$ in the case of $q=1$ and an integrated Brownian motion prior, and analyze how inaccurate information on $\dot{x}$ coming from approximate evaluations of $f$ affects these rates. Moreover, we present explicit formulas for the steady states and show that the posterior confidence intervals are well calibrated in all considered cases that exhibit global convergence---in the sense that they globally contract at the same rate as the truncation error.