



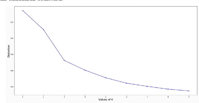
Clustering of urban traffic patterns is an essential task in many different areas of traffic management and planning. In this paper, two significant applications in the clustering of urban traffic patterns are described. The first application estimates the missing speed values using the speed of road segments with similar traffic patterns to colorify map tiles. The second one is the estimation of essential road segments for generating addresses for a local point on the map, using the similarity patterns of different road segments. The speed time series extracts the traffic pattern in different road segments. In this paper, we proposed the time series clustering algorithm based on K-Means and Dynamic Time Warping. The case study of our proposed algorithm is based on the Snapp application's driver speed time series data. The results of the two applications illustrate that the proposed method can extract similar urban traffic patterns.