


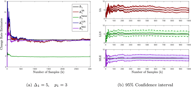
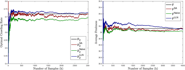
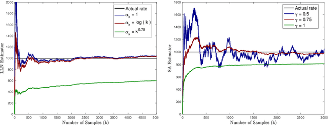
For providing quick and accurate results, a search engine maintains a local snapshot of the entire web. And, to keep this local cache fresh, it employs a crawler for tracking changes across various web pages. However, finite bandwidth availability and server restrictions impose some constraints on the crawling frequency. Consequently, the ideal crawling rates are the ones that maximise the freshness of the local cache and also respect the above constraints. Azar et al. 2018 recently proposed a tractable algorithm to solve this optimisation problem. However, they assume the knowledge of the exact page change rates, which is unrealistic in practice. We address this issue here. Specifically, we provide two novel schemes for online estimation of page change rates. Both schemes only need partial information about the page change process, i.e., they only need to know if the page has changed or not since the last crawled instance. For both these schemes, we prove convergence and, also, derive their convergence rates. Finally, we provide some numerical experiments to compare the performance of our proposed estimators with the existing ones (e.g., MLE).