



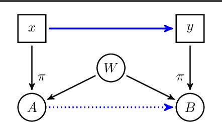
Discovering causal relations is fundamental to reasoning and intelligence. In particular, observational causal discovery algorithms estimate the cause-effect relation between two random entities $X$ and $Y$, given $n$ samples from $P(X,Y)$. In this paper, we develop a framework to estimate the cause-effect relation between two static entities $x$ and $y$: for instance, an art masterpiece $x$ and its fraudulent copy $y$. To this end, we introduce the notion of proxy variables, which allow the construction of a pair of random entities $(A,B)$ from the pair of static entities $(x,y)$. Then, estimating the cause-effect relation between $A$ and $B$ using an observational causal discovery algorithm leads to an estimation of the cause-effect relation between $x$ and $y$. For example, our framework detects the causal relation between unprocessed photographs and their modifications, and orders in time a set of shuffled frames from a video. As our main case study, we introduce a human-elicited dataset of 10,000 pairs of casually-linked pairs of words from natural language. Our methods discover 75% of these causal relations. Finally, we discuss the role of proxy variables in machine learning, as a general tool to incorporate static knowledge into prediction tasks.