



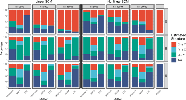
Inferring causal relationships from observational data is rarely straightforward, but the problem is especially difficult in high dimensions. For these applications, causal discovery algorithms typically require parametric restrictions or extreme sparsity constraints. We relax these assumptions and focus on an important but more specialized problem, namely recovering a directed acyclic subgraph of variables known to be causally descended from some (possibly large) set of confounding covariates, i.e. a $\textit{confounder blanket}$. This is useful in many settings, for example when studying a dynamic biomolecular subsystem with genetic data providing causally relevant background information. Under a structural assumption that, we argue, must be satisfied in practice if informative answers are to be found, our method accommodates graphs of low or high sparsity while maintaining polynomial time complexity. We derive a sound and complete algorithm for identifying causal relationships under these conditions and implement testing procedures with provable error control for linear and nonlinear systems. We demonstrate our approach on a range of simulation settings.