



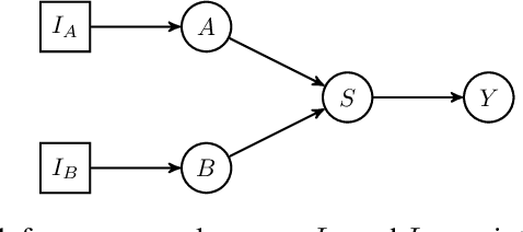
The Causal Bandit is a variant of the classic Bandit problem where an agent must identify the best action in a sequential decision-making process, where the reward distribution of the actions displays a non-trivial dependence structure that is governed by a causal model. All methods proposed thus far in the literature rely on exact prior knowledge of the causal model to obtain improved estimators for the reward. We formulate a new causal bandit algorithm that is the first to no longer rely on explicit prior causal knowledge and instead uses the output of causal discovery algorithms. This algorithm relies on a new estimator based on separating sets, a causal structure already known in causal discovery literature. We show that given a separating set, this estimator is unbiased, and has lower variance compared to the sample mean. We derive a concentration bound and construct a UCB-type algorithm based on this bound, as well as a Thompson sampling variant. We compare our algorithms with traditional bandit algorithms on simulation data. On these problems, our algorithms show a significant boost in performance.