
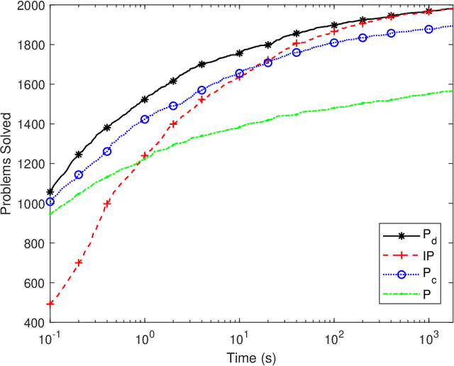
We establish a novel relation between delete-free planning, an important task for the AI Planning community also known as relaxed planning, and logic programming. We show that given a planning problem, all subsets of actions that could be ordered to produce relaxed plans for the problem can be bijectively captured with stable models of a logic program describing the corresponding relaxed planning problem. We also consider the supported model semantics of logic programs, and introduce one causal and one diagnostic encoding of the relaxed planning problem as logic programs, both capturing relaxed plans with their supported models. Our experimental results show that these new encodings can provide major performance gain when computing optimal relaxed plans, with our diagnostic encoding outperforming state-of-the-art approaches to relaxed planning regardless of the given time limit when measured on a wide collection of STRIPS planning benchmarks.