



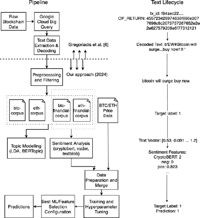
Cryptocurrency blockchains, beyond their primary role as distributed payment systems, are increasingly used to store and share arbitrary content, such as text messages and files. Although often non-financial, this hidden content can impact price movements by conveying private information, shaping sentiment, and influencing public opinion. However, current analyses of such data are limited in scope and scalability, primarily relying on manual classification or hand-crafted heuristics. In this work, we address these limitations by employing Natural Language Processing techniques to analyze, detect patterns, and extract public sentiment encoded within blockchain transactional data. Using a variety of Machine Learning techniques, we showcase for the first time the predictive power of blockchain-embedded sentiment in forecasting cryptocurrency price movements on the Bitcoin and Ethereum blockchains. Our findings shed light on a previously underexplored source of freely available, transparent, and immutable data and introduce blockchain sentiment analysis as a novel and robust framework for enhancing financial predictions in cryptocurrency markets. Incidentally, we discover an asymmetry between cryptocurrencies; Bitcoin has an informational advantage over Ethereum in that the sentiment embedded into transactional data is sufficient to predict its price movement.