



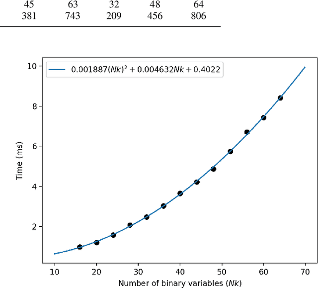
Adiabatic quantum computers are a promising platform for approximately solving challenging optimization problems. We present a quantum approach to solving the balanced $k$-means clustering training problem on the D-Wave 2000Q adiabatic quantum computer. Existing classical approaches scale poorly for large datasets and only guarantee a locally optimal solution. We show that our quantum approach better targets the global solution of the training problem, while achieving better theoretic scalability on large datasets. We test our quantum approach on a number of small problems, and observe clustering performance similar to the best classical algorithms.