



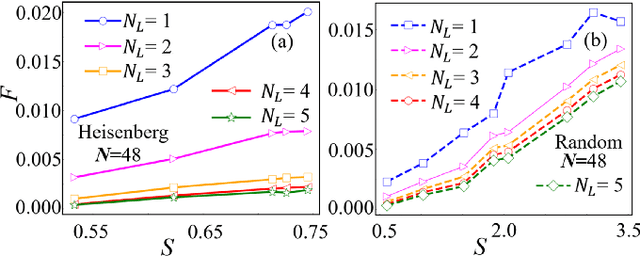
Constructing quantum circuits for efficient state preparation belongs to the central topics in the field of quantum information and computation. As the number of qubits grows fast, methods to derive large-scale quantum circuits are strongly desired. In this work, we propose the automatically differentiable quantum circuit (ADQC) approach to efficiently prepare arbitrary quantum many-qubit states. A key ingredient is to introduce the latent gates whose decompositions give the unitary gates that form the quantum circuit. The circuit is optimized by updating the latent gates using back propagation to minimize the distance between the evolved and target states. Taking the ground states of quantum lattice models and random matrix product states as examples, with the number of qubits where processing the full coefficients is unlikely, ADQC obtains high fidelities with small numbers of layers $N_L \sim O(1)$. Superior accuracy is reached compared with the existing state-preparation approach based on the matrix product disentangler. The parameter complexity of MPS can be significantly reduced by ADQC with the compression ratio $r \sim O(10^{-3})$. Our work sheds light on the "intelligent construction" of quantum circuits for many-qubit systems by combining with the machine learning methods.