


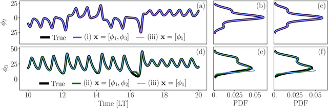
We propose the Automatic-differentiated Physics-Informed Echo State Network (API-ESN). The architecture constrains the knowledge of the physical equations through the reservoir's exact time derivative, which is computed by automatic differentiation. As compared to the original Physics-Informed Echo State Network, the accuracy of the time derivative is increased by up to seven orders of magnitude. This increased accuracy is key in chaotic dynamical systems, where errors grows exponentially in time. The architecture is showcased in the reconstruction of unmeasured (hidden) states of a chaotic system. The API-ESN eliminates a source of error, which is present in existing physics-informed echo state networks, in the computation of the time-derivative. This opens up new possibilities for an accurate reconstruction of chaotic dynamical states.