



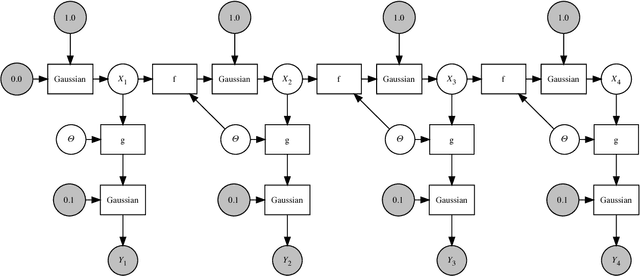
This work offers a broad perspective on probabilistic modeling and inference in light of recent advances in probabilistic programming, in which models are formally expressed in Turing-complete programming languages. We consider a typical workflow and how probabilistic programming languages can help to automate this workflow, especially in the matching of models with inference methods. We focus on two properties of a model that are critical in this matching: its structure---the conditional dependencies between random variables---and its form---the precise mathematical definition of those dependencies. While the structure and form of a probabilistic model are often fixed a priori, it is a curiosity of probabilistic programming that they need not be, and may instead vary according to random choices made during program execution. We introduce a formal description of models expressed as programs, and discuss some of the ways in which probabilistic programming languages can reveal the structure and form of these, in order to tailor inference methods. We demonstrate the ideas with a new probabilistic programming language called Birch, with a multiple object tracking example.