



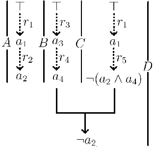
We endow prioritised default logic (PDL) with argumentation semantics using the ASPIC+ framework for structured argumentation, and prove that the conclusions of the justified arguments are exactly the prioritised default extensions. Argumentation semantics for PDL will allow for the application of argument game proof theories to the process of inference in PDL, making the reasons for accepting a conclusion transparent and the inference process more intuitive. This also opens up the possibility for argumentation-based distributed reasoning and communication amongst agents with PDL representations of mental attitudes.