



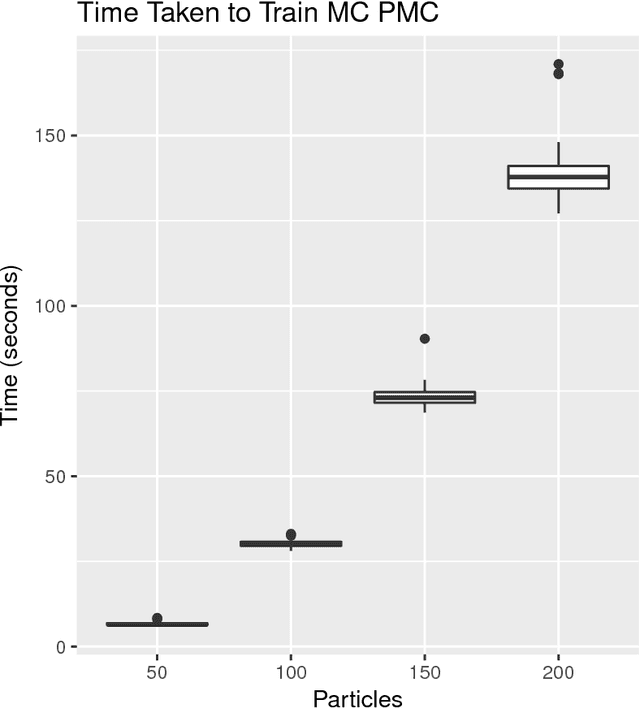
Approximate Bayesian computation (ABC) methods can be used to sample from posterior distributions when the likelihood function is unavailable or intractable, as is often the case in biological systems. Sequential Monte Carlo (SMC) methods have been combined with ABC to improve efficiency, however these approaches require many simulations from the likelihood. We propose a classification approach within a population Monte Carlo (PMC) framework, where model class probabilities are used to update the particle weights. Our proposed approach outperforms state-of-the-art ratio estimation methods while retaining the automatic selection of summary statistics, and performs competitively with SMC ABC.