



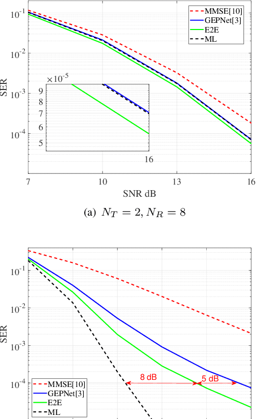
Multi-user multiple-input multiple-output (MU-MIMO) systems allow multiple users to share the same wireless spectrum. Each user transmits one symbol drawn from an M-ary quadrature amplitude modulation (M-QAM) constellation set, and the resulting multi-user interference (MUI) is cancelled at the receiver. End-to-End (E2E) learning has recently been proposed to jointly design the constellation set for a modulator and symbol detector for a single user under an additive white Gaussian noise (AWGN) channel by using deep neural networks (DNN) with a symbol-error-rate (SER) performance, exceeding that of Maximum likelihood (ML) M-QAM detectors. In this paper, we extend the E2E concept to the MU-MIMO systems, where a DNN-based modulator that generates learned M constellation points and graph expectation propagation network (GEPNet) detector that cancels MUI are jointly optimised with respect to SER performance loss. Simulation results demonstrate that the proposed E2E with learned constellation outperforms GEPNet with 16-QAM by around 5 dB in terms of SER in a high MUI environment and even surpasses ML with 16-QAM in a low MUI condition, both with no additional computational complexity.