



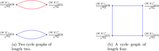
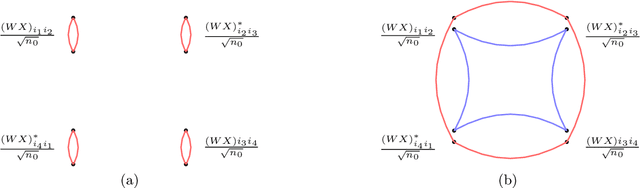
We compute the asymptotic empirical spectral distribution of a non-linear random matrix model by using the resolvent method. Motivated by random neural networks, we consider the random matrix $M = Y Y^\ast$ with $Y = f(WX)$, where $W$ and $X$ are random rectangular matrices with i.i.d. centred entries and $f$ is a non-linear smooth function which is applied entry-wise. We prove that the Stieltjes transform of the limiting spectral distribution satisfies a quartic self-consistent equation up to some error terms, which is exactly the equation obtained by [Pennington, Worah] and [Benigni, P\'{e}ch\'{e}] with the moment method approach. In addition, we extend the previous results to the case of additive bias $Y=f(WX+B)$ with $B$ being an independent rank-one Gaussian random matrix, closer modelling the neural network infrastructures encountering in practice. Our approach following the \emph{resolvent method} is more robust than the moment method and is expected to provide insights also for models where the combinatorics of the latter become intractable.