



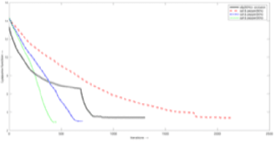
The ability to accurately reconstruct the 3D facets of a scene is one of the key problems in robotic vision. However, even with recent advances with machine learning, there is no high-fidelity universal 3D reconstruction method for this optimization problem as schemes often cater to specific image modalities and are often biased by scene abnormalities. Simply put, there always remains an information gap due to the dynamic nature of real-world scenarios. To this end, we demonstrate a feedback control framework which invokes operator inputs (also prone to errors) in order to augment existing reconstruction schemes. For proof-of-concept, we choose a classical region-based stereoscopic reconstruction approach and show how an ill-posed model can be augmented with operator input to be much more robust to scene artifacts. We provide necessary conditions for stability via Lyapunov analysis and perhaps more importantly, we show that the stability depends on a notion of absolute curvature. Mathematically, this aligns with previous work that has shown Ricci curvature as proxy for functional robustness of dynamical networked systems. We conclude with results that show how our method can improve standalone reconstruction schemes.