



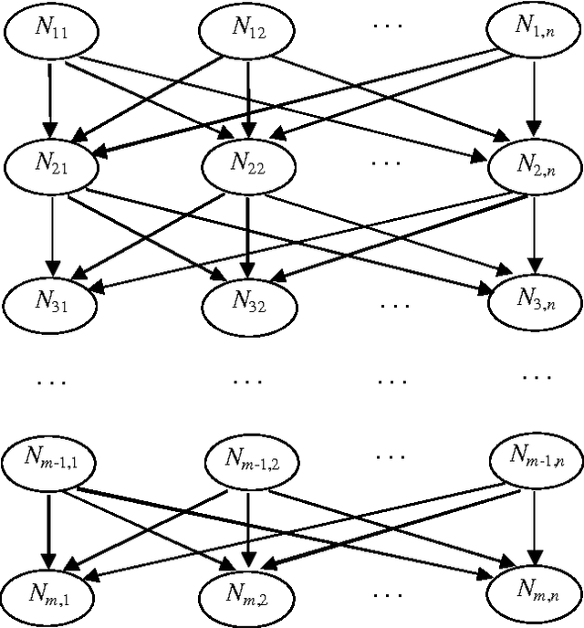
Schedules can be built in a similar way to a human scheduler by using a set of rules that involve domain knowledge. This paper presents an Estimation of Distribution Algorithm (eda) for the nurse scheduling problem, which involves choosing a suitable scheduling rule from a set for the assignment of each nurse. Unlike previous work that used Genetic Algorithms (ga) to implement implicit learning, the learning in the proposed algorithm is explicit, i.e. we identify and mix building blocks directly. The eda is applied to implement such explicit learning by building a Bayesian network of the joint distribution of solutions. The conditional probability of each variable in the network is computed according to an initial set of promising solutions. Subsequently, each new instance for each variable is generated by using the corresponding conditional probabilities, until all variables have been generated, i.e. in our case, a new rule string has been obtained. Another set of rule strings will be generated in this way, some of which will replace previous strings based on fitness selection. If stopping conditions are not met, the conditional probabilities for all nodes in the Bayesian network are updated again using the current set of promising rule strings. Computational results from 52 real data instances demonstrate the success of this approach. It is also suggested that the learning mechanism in the proposed approach might be suitable for other scheduling problems.