



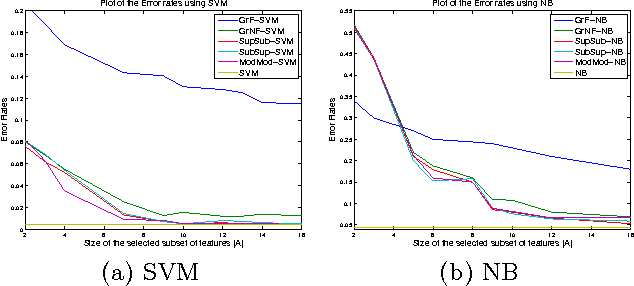
We extend the work of Narasimhan and Bilmes [30] for minimizing set functions representable as a dierence between submodular functions. Similar to [30], our new algorithms are guaranteed to monotonically reduce the objective function at every step. We empirically and theoretically show that the per-iteration cost of our algorithms is much less than [30], and our algorithms can be used to efficiently minimize a dierence between submodular functions under various combinatorial constraints, a problem not previously addressed. We provide computational bounds and a hardness result on the multiplicative inapproximability of minimizing the dierence between submodular functions. We show, however, that it is possible to give worst-case additive bounds by providing a polynomial time computable lower-bound on the minima. Finally we show how a number of machine learning problems can be modeled as minimizing the dierence between submodular functions. We experimentally show the validity of our algorithms by testing them on the problem of feature selection with submodular cost features.