



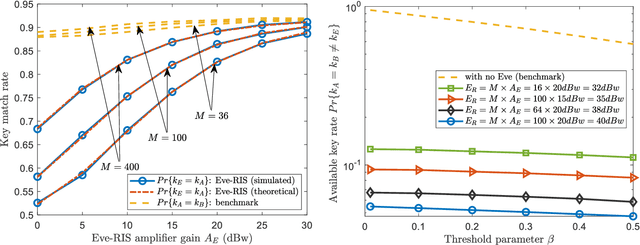
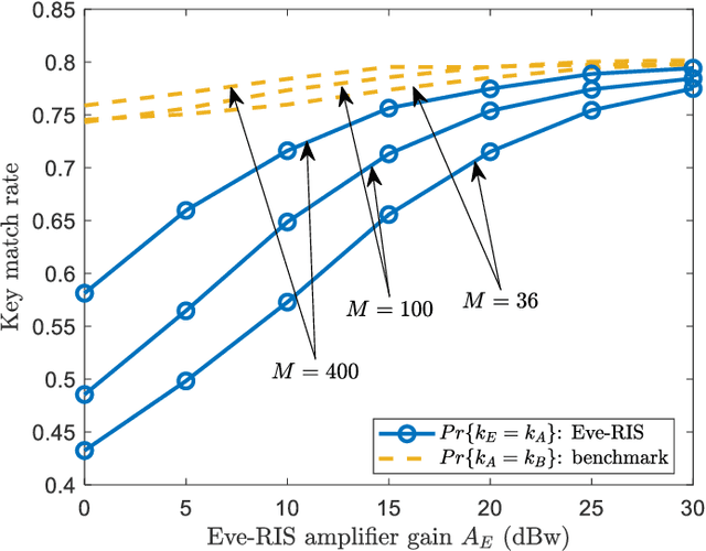
The development of reconfigurable intelligent surface (RIS) has recently advanced the research of physical layer security (PLS). Beneficial impact of RIS includes but is not limited to offering a new domain of freedom (DoF) for key-less PLS optimization, and increasing channel randomness for physical layer secret key generation (PL-SKG). However, there is a lack of research studying how adversarial RIS can be used to damage the communication confidentiality. In this work, we show how a Eve controlled adversarial RIS (Eve-RIS) can be used to reconstruct the shared PLS secret key between legitimate users (Alice and Bob). This is achieved by Eve-RIS overlaying the legitimate channel with an artificial random and reciprocal channel. The resulting Eve-RIS corrupted channel enable Eve to successfully attack the PL-SKG process. To operationalize this novel concept, we design Eve-RIS schemes against two PL-SKG techniques used: (i) the channel estimation based PL-SKG, and (ii) the two-way cross multiplication based PL-SKG. Our results show a high key match rate between the designed Eve-RIS and the legitimate users. We also present theoretical key match rate between Eve-RIS and legitimate users. Our novel scheme is different from the existing spoofing-Eve, in that the latter can be easily detected by comparing the channel estimation results of the legitimate users. Indeed, our proposed Eve-RIS can maintain the legitimate channel reciprocity, which makes detection challenging. This means the novel Eve-RIS provides a new eavesdropping threat on PL-SKG, which can spur new research areas to counter adversarial RIS attacks.