



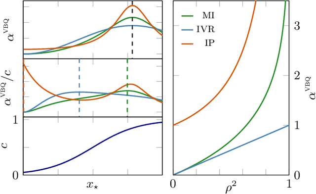
Bayesian quadrature (BQ) is a sample-efficient probabilistic numerical method to solve integrals of expensive-to-evaluate black-box functions, yet so far,active BQ learning schemes focus merely on the integrand itself as information source, and do not allow for information transfer from cheaper, related functions. Here, we set the scene for active learning in BQ when multiple related information sources of variable cost (in input and source) are accessible. This setting arises for example when evaluating the integrand requires a complex simulation to be run that can be approximated by simulating at lower levels of sophistication and at lesser expense. We construct meaningful cost-sensitive multi-source acquisition rates as an extension to common utility functions from vanilla BQ (VBQ),and discuss pitfalls that arise from blindly generalizing. Furthermore, we show that the VBQ acquisition policy is a corner-case of all considered cost-sensitive acquisition schemes, which collapse onto one single de-generate policy in the case of one source and constant cost. In proof-of-concept experiments we scrutinize the behavior of our generalized acquisition functions. On an epidemiological model, we demonstrate that active multi-source BQ (AMS-BQ) allocates budget more efficiently than VBQ for learning the integral to a good accuracy.