



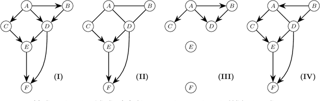
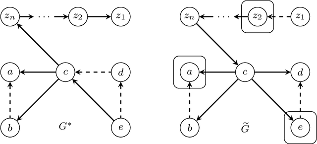
We introduce the problem of active causal structure learning with advice. In the typical well-studied setting, the learning algorithm is given the essential graph for the observational distribution and is asked to recover the underlying causal directed acyclic graph (DAG) $G^*$ while minimizing the number of interventions made. In our setting, we are additionally given side information about $G^*$ as advice, e.g. a DAG $G$ purported to be $G^*$. We ask whether the learning algorithm can benefit from the advice when it is close to being correct, while still having worst-case guarantees even when the advice is arbitrarily bad. Our work is in the same space as the growing body of research on algorithms with predictions. When the advice is a DAG $G$, we design an adaptive search algorithm to recover $G^*$ whose intervention cost is at most $O(\max\{1, \log \psi\})$ times the cost for verifying $G^*$; here, $\psi$ is a distance measure between $G$ and $G^*$ that is upper bounded by the number of variables $n$, and is exactly 0 when $G=G^*$. Our approximation factor matches the state-of-the-art for the advice-less setting.