



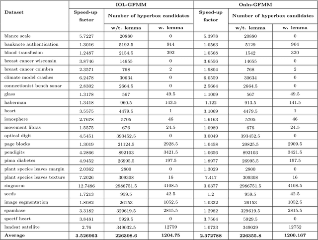
This paper proposes a method to accelerate the training process of general fuzzy min-max neural network. The purpose is to reduce the unsuitable hyperboxes selected as the potential candidates of the expansion step of existing hyperboxes to cover a new input pattern in the online learning algorithms or candidates of the hyperbox aggregation process in the agglomerative learning algorithms. Our proposed approach is based on the mathematical formulas to form a branch-and-bound solution aiming to remove the hyperboxes which are certain not to satisfy expansion or aggregation conditions, and in turn decreasing the training time of learning algorithms. The efficiency of the proposed method is assessed over a number of widely used data sets. The experimental results indicated the significant decrease in training time of proposed approach for both online and agglomerative learning algorithms. Notably, the training time of the online learning algorithms is reduced from 1.2 to 12 times when using the proposed method, while the agglomerative learning algorithms are accelerated from 7 to 37 times on average.