

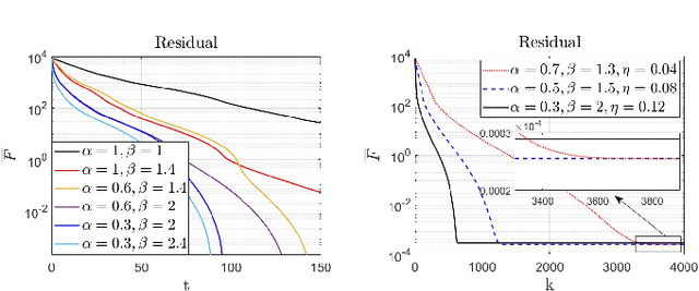
Distributed allocation finds applications in many scenarios including CPU scheduling, distributed energy resource management, and networked coverage control. In this paper, we propose a fast convergent optimization algorithm with a tunable rate using the signum function. The convergence rate of the proposed algorithm can be managed by changing two parameters. We prove convergence over uniformly-connected multi-agent networks. Therefore, the solution converges even if the network loses connectivity at some finite time intervals. The proposed algorithm is all-time feasible, implying that at any termination time of the algorithm, the resource-demand feasibility holds. This is in contrast to asymptotic feasibility in many dual formulation solutions (e.g., ADMM) that meet resource-demand feasibility over time and asymptotically.