


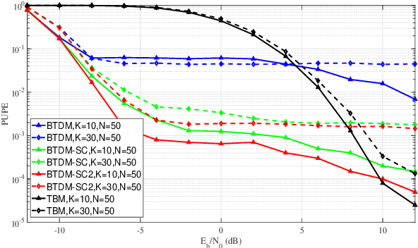
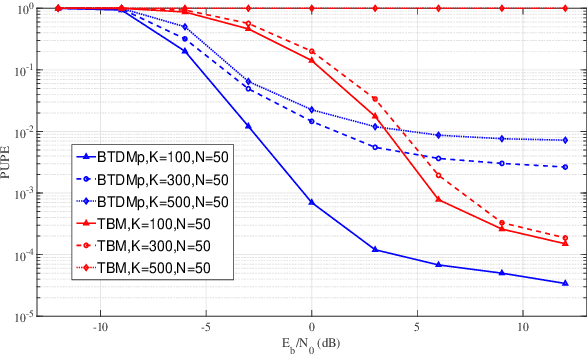
In this letter, we propose a novel tensor-based modulation scheme for massive unsourced random access. The proposed modulation can be deemed as a summation of third-order tensors, of which the factors are representatives of subspaces. A constellation design based on high-dimensional Grassmann manifold is presented for information encoding. The uniqueness of tensor decomposition provides theoretical guarantee for active user separation. Simulation results show that our proposed method outperforms the state-of-the-art tensor-based modulation.