



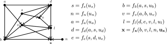
Precision medicine involves answering counterfactual questions such as "Would this patient respond better to treatment A or treatment B?" These types of questions are causal in nature and require the tools of causal inference to be answered, e.g., with a structural causal model (SCM). In this work, we develop an SCM that models the interaction between demographic information, disease covariates, and magnetic resonance (MR) images of the brain for people with multiple sclerosis (MS). Inference in the SCM generates counterfactual images that show what an MR image of the brain would look like when demographic or disease covariates are changed. These images can be used for modeling disease progression or used for downstream image processing tasks where controlling for confounders is necessary.