



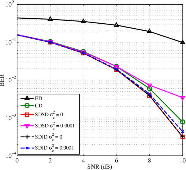
Ultrasonic intra-body communication (IBC) is a promising enabling technology for future healthcare applications, due to low attenuation and medical safety of ultrasonic waves for the human body. A splitting receiver, referred to as the splitting-detection separate-decision (SDSD) receiver, is introduced for ultrasonic pulse-based IBCs, and SDSD can significantly improve bit-error rate (BER) performance over the traditional coherent-detection (CD) and energy detection (ED) receivers. To overcome the high complexity and improve the BER performance of SDSD, a splitting-detection joint-decision (SDJD) receiver is proposed. The core idea of SDJD is to split the received signal into two steams that can be separately processed by CD and ED, and then summed up as joint decision variables to achieve diversity combining. The theoretical channel capacity and BER of the SDSD and SDJD are derived for M-ary pulse position modulation (M-PPM) and PPM with spreading codes. The derivation takes into account the channel noise, intra-body channel fading, and channel estimation error. Simulation results verify the theoretical analysis and show that both SDSD and SDJD can achieve higher channel capacity and lower BER than the CD and ED receivers with perfect channel estimation, while SDJD can achieve the lowest BER with imperfect channel estimation.