



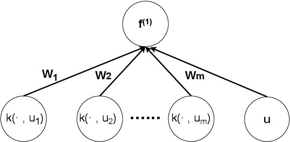
Deep Gaussian Processes (DGP) enable a non-parametric approach to quantify the uncertainty of complex deep machine learning models. Conventional inferential methods for DGP models can suffer from high computational complexity as they require large-scale operations with kernel matrices for training and inference. In this work, we propose an efficient scheme for accurate inference and prediction based on a range of Gaussian Processes, called the Tensor Markov Gaussian Processes (TMGP). We construct an induced approximation of TMGP referred to as the hierarchical expansion. Next, we develop a deep TMGP (DTMGP) model as the composition of multiple hierarchical expansion of TMGPs. The proposed DTMGP model has the following properties: (1) the outputs of each activation function are deterministic while the weights are chosen independently from standard Gaussian distribution; (2) in training or prediction, only O(polylog(M)) (out of M) activation functions have non-zero outputs, which significantly boosts the computational efficiency. Our numerical experiments on real datasets show the superior computational efficiency of DTMGP versus other DGP models.