



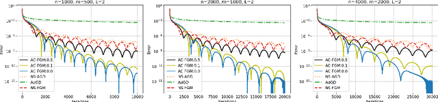
Line search (or backtracking) procedures have been widely employed into first-order methods for solving convex optimization problems, especially those with unknown problem parameters (e.g., Lipschitz constant). In this paper, we show that line search is superfluous in attaining the optimal rate of convergence for solving a convex optimization problem whose parameters are not given a priori. In particular, we present a novel accelerated gradient descent type algorithm called auto-conditioned fast gradient method (AC-FGM) that can achieve an optimal $\mathcal{O}(1/k^2)$ rate of convergence for smooth convex optimization without requiring the estimate of a global Lipschitz constant or the employment of line search procedures. We then extend AC-FGM to solve convex optimization problems with H\"{o}lder continuous gradients and show that it automatically achieves the optimal rates of convergence uniformly for all problem classes with the desired accuracy of the solution as the only input. Finally, we report some encouraging numerical results that demonstrate the advantages of AC-FGM over the previously developed parameter-free methods for convex optimization.