



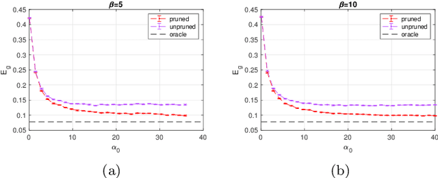
Many sensory pathways in the brain rely on sparsely active populations of neurons downstream from the input stimuli. The biological reason for the occurrence of expanded structure in the brain is unclear, but may be because expansion can increase the expressive power of a neural network. In this work, we show that expanding a neural network can improve its generalization performance even in cases in which the expanded structure is pruned after the learning period. To study this setting we use a teacher-student framework where a perceptron teacher network generates labels which are corrupted with small amounts of noise. We then train a student network that is structurally matched to the teacher and can achieve optimal accuracy if given the teacher's synaptic weights. We find that sparse expansion of the input of a student perceptron network both increases its capacity and improves the generalization performance of the network when learning a noisy rule from a teacher perceptron when these expansions are pruned after learning. We find similar behavior when the expanded units are stochastic and uncorrelated with the input and analyze this network in the mean field limit. We show by solving the mean field equations that the generalization error of the stochastic expanded student network continues to drop as the size of the network increases. The improvement in generalization performance occurs despite the increased complexity of the student network relative to the teacher it is trying to learn. We show that this effect is closely related to the addition of slack variables in artificial neural networks and suggest possible implications for artificial and biological neural networks.