



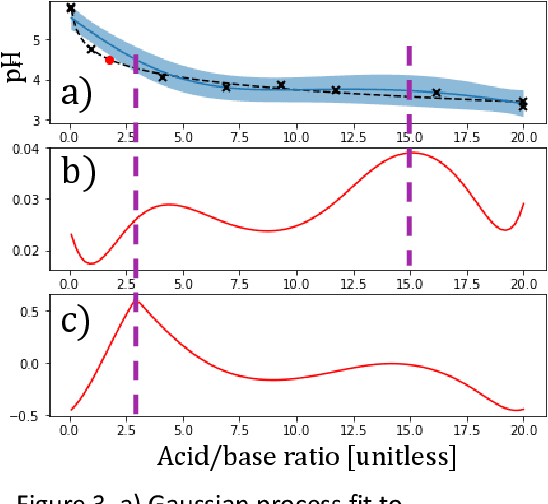
The next generation of physical science involves robot scientists - autonomous physical science systems capable of experimental design, execution, and analysis in a closed loop. Such systems have shown real-world success for scientific exploration and discovery, including the first discovery of a best-in-class material. To build and use these systems, the next generation workforce requires expertise in diverse areas including ML, control systems, measurement science, materials synthesis, decision theory, among others. However, education is lagging. Educators need a low-cost, easy-to-use platform to teach the required skills. Industry can also use such a platform for developing and evaluating autonomous physical science methodologies. We present the next generation in science education, a kit for building a low-cost autonomous scientist. The kit was used during two courses at the University of Maryland to teach undergraduate and graduate students autonomous physical science. We discuss its use in the course and its greater capability to teach the dual tasks of autonomous model exploration, optimization, and determination, with an example of autonomous experimental "discovery" of the Henderson-Hasselbalch equation.