



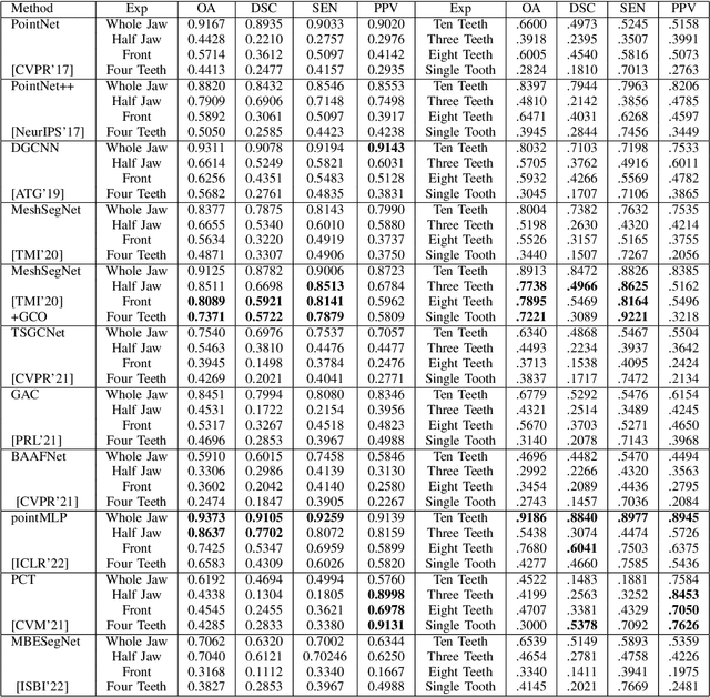
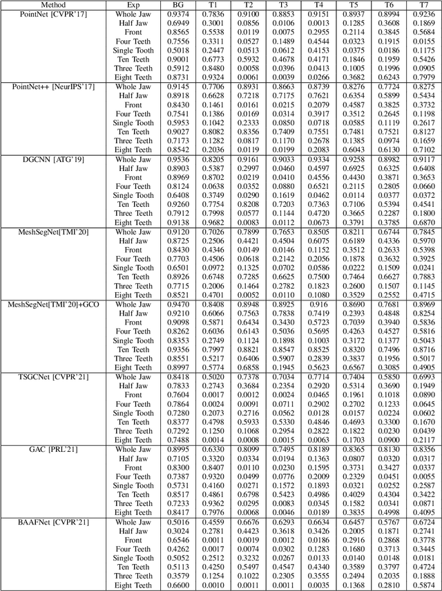
Tooth segmentation from intraoral scans is a crucial part of digital dentistry. Many Deep Learning based tooth segmentation algorithms have been developed for this task. In most of the cases, high accuracy has been achieved, although, most of the available tooth segmentation techniques make an implicit restrictive assumption of full jaw model and they report accuracy based on full jaw models. Medically, however, in certain cases, full jaw tooth scan is not required or may not be available. Given this practical issue, it is important to understand the robustness of currently available widely used Deep Learning based tooth segmentation techniques. For this purpose, we applied available segmentation techniques on partial intraoral scans and we discovered that the available deep Learning techniques under-perform drastically. The analysis and comparison presented in this work would help us in understanding the severity of the problem and allow us to develop robust tooth segmentation technique without strong assumption of full jaw model.