



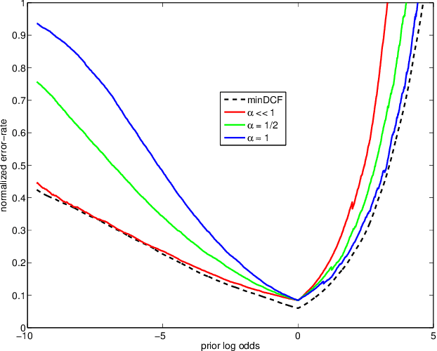
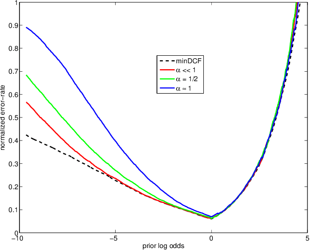
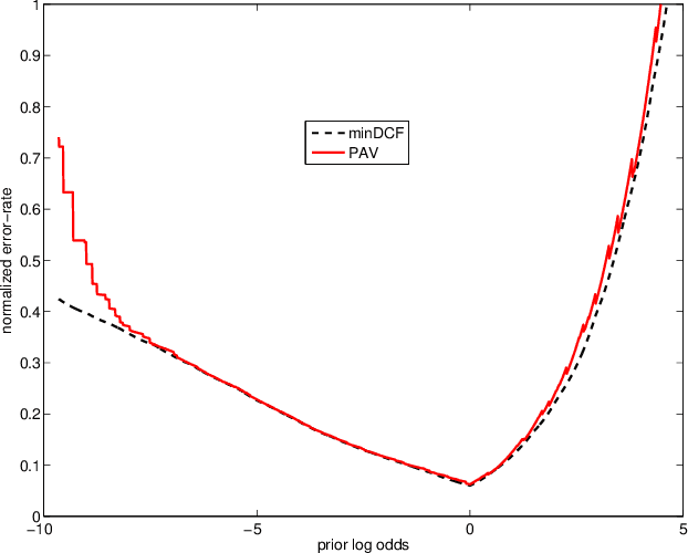
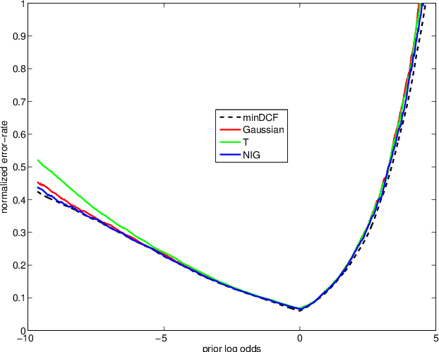
In recent work on both generative and discriminative score to log-likelihood-ratio calibration, it was shown that linear transforms give good accuracy only for a limited range of operating points. Moreover, these methods required tailoring of the calibration training objective functions in order to target the desired region of best accuracy. Here, we generalize the linear recipes to non-linear ones. We experiment with a non-linear, non-parametric, discriminative PAV solution, as well as parametric, generative, maximum-likelihood solutions that use Gaussian, Student's T and normal-inverse-Gaussian score distributions. Experiments on NIST SRE'12 scores suggest that the non-linear methods provide wider ranges of optimal accuracy and can be trained without having to resort to objective function tailoring.