



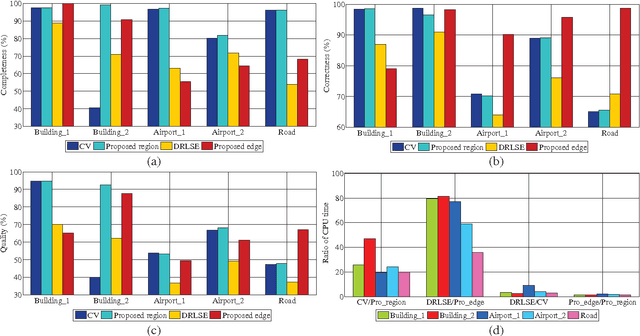
Abstract:Object extraction from remote sensing images has long been an intensive research topic in the field of surveying and mapping. Most existing methods are devoted to handling just one type of object and little attention has been paid to improving the computational efficiency. In recent years, level set evolution (LSE) has been shown to be very promising for object extraction in the community of image processing and computer vision because it can handle topological changes automatically while achieving high accuracy. However, the application of state-of-the-art LSEs is compromised by laborious parameter tuning and expensive computation. In this paper, we proposed two fast LSEs for man-made object extraction from high spatial resolution remote sensing images. The traditional mean curvature-based regularization term is replaced by a Gaussian kernel and it is mathematically sound to do that. Thus a larger time step can be used in the numerical scheme to expedite the proposed LSEs. In contrast to existing methods, the proposed LSEs are significantly faster. Most importantly, they involve much fewer parameters while achieving better performance. The advantages of the proposed LSEs over other state-of-the-art approaches have been verified by a range of experiments.