



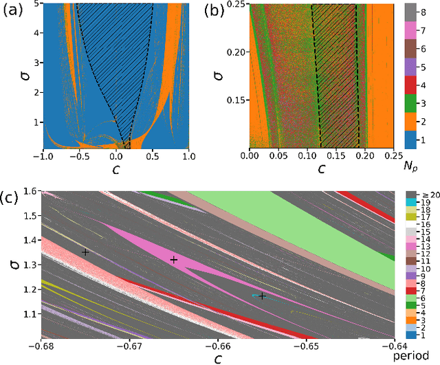
Abstract:A continuous one-dimensional map with period three includes all periods. This raises the following question: Can we obtain any types of periodic orbits solely by learning three data points? We consider learning period three with random neural networks and report the universal property associated with it. We first show that the trained networks have a thermodynamic limit that depends on the choice of target data and network settings. Our analysis reveals that almost all learned periods are unstable and each network has its characteristic attractors (which can even be untrained ones). Here, we propose the concept of characteristic bifurcation expressing embeddable attractors intrinsic to the network, in which the target data points and the scale of the network weights function as bifurcation parameters. In conclusion, learning period three generates various attractors through characteristic bifurcation due to the stability change in latently existing numerous unstable periods of the system.