



Abstract:The efforts on the development, standardization and improvements to communication systems towards 5G Advanced and 6G are on track to provide benefits such as an unprecedented level of connectivity and performance, enabling a diverse range of vertical services. The full integration of non-terrestrial components into 6G plays a pivotal role in realizing this paradigm shift towards ubiquitous communication and global coverage. However, this integration into 6G brings forth a set of its own challenges, particularly in Radio Access Technologies (RATs). To this end, this paper comprehensively discusses those challenges at different levels of RATs and proposes the corresponding potential emerging advancements in the realm of 6G NTN. In particular, the focus is on advancing the prospective aspects of Radio Resource Management (RRM), spectral coexistence in terrestrial and non-terrestrial components and flexible waveform design solutions to combat the impediments. This discussion with a specific focus on emerging advancements in 6G NTN RATs is critical for shaping the next generation networks and potentially relevant in contributing the part in standardization in forthcoming releases




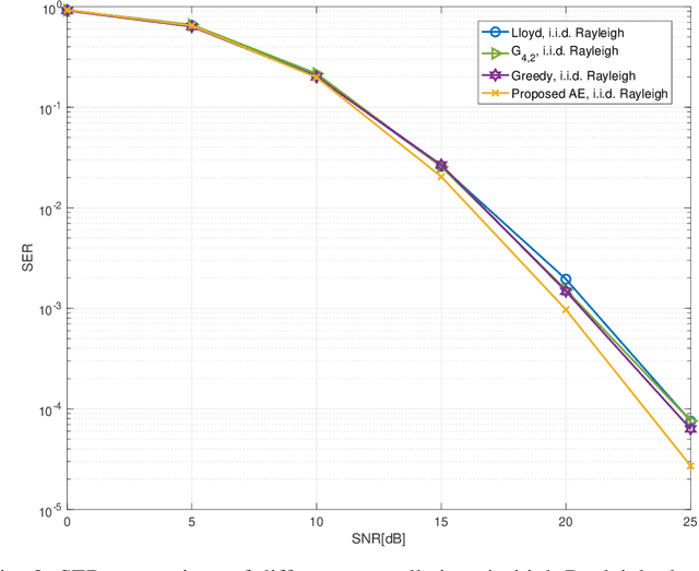
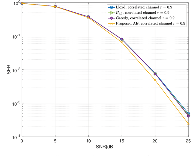
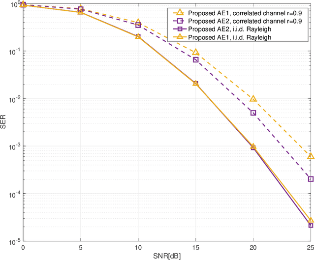
Abstract:In this letter, we propose an autoencoder (AE) for designing Grassmannian constellations in noncoherent (NC) multiple-input multiple-output (MIMO) systems. To guarantee the properties of Grassmannian constellations, the proposed AE constructs the transmitted symbols following an unitary space-time modulation. It penalizes the difference between input and output symbols in terms of cross entropy during the training, which is regarded as a generic optimization method. The constellations learned by the proposed AE have substantial symbol error rate (SER) performance gains compared to the non-Grassmannian constellations and conventionally constructed Grassmannian constellations in high SNR regime. The resulting Grassmannian constellation of the proposed AE achieves higher diversity than the non-Grassmannian constellation in i.i.d. Rayleigh channels. Moreover, the proposed approach can be adaptive to different channel statistics by training with corresponding channel realizations.