



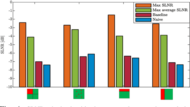
Abstract:Reconfigurable Intelligent Surfaces (RISs) are expected to be massively deployed in future beyond-5th generation wireless networks, thanks to their ability to programmatically alter the propagation environment, inherent low-cost and low-maintenance nature. Indeed, they are envisioned to be implemented on the facades of buildings or on moving objects. However, such an innovative characteristic may potentially turn into an involuntary negative behavior that needs to be addressed: an undesired signal scattering. In particular, RIS elements may be prone to experience failures due to lack of proper maintenance or external environmental factors. While the resulting Signal-to-Noise-Ratio (SNR) at the intended User Equipment (UE) may not be significantly degraded, we demonstrate the potential risks in terms of unwanted spreading of the transmit signal to non-intended UE. In this regard, we consider the problem of mitigating such undesired effect by proposing two simple yet effective algorithms, which are based on maximizing the Signal-to-Leakage- and-Noise-Ratio (SLNR) over a predefined two-dimensional (2D) area and are applicable in the case of perfect channel-state-information (CSI) and partial CSI, respectively. Numerical and full-wave simulations demonstrate the added gains compared to leakage-unaware and reference schemes.


Abstract:In this letter, we consider a reconfigurable intelligent surface (RIS) assisted multiple-input multiple-output (MIMO) system in the presence of scattering objects. The MIMO transmitter and receiver, the RIS, and the scattering objects are modeled as mutually coupled thin wires connected to load impedances. We introduce a novel numerical algorithm for optimizing the tunable loads connected to the RIS. Compared with currently available algorithms, the proposed approach does not rely on the Neumann series approximation, but it optimizes the tunable load impedances alternately and one by one. At each iteration step, a closed-form expression for each impedance is provided by applying the Gram-Schmidt orthogonalization method. The algorithm is provably convergent and has a polynomial complexity with the number of RIS elements. Also, it is shown to outperform, in terms of achievable rate, two benchmark algorithms, which are based on a similar electromagnetic model, while requiring fewer iterations and a reduced execution time to reach convergence.