



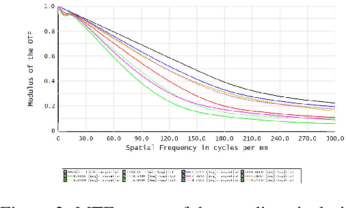
Abstract:Cassegrain designs can be used to build thin lenses. We analyze the relationships between system thickness and aperture sizes of the two mirrors as well as FoV size. Our analysis shows that decrease in lens thickness imposes tight constraint on the aperture and FoV size. To mitigate this limitation, we propose to fill the gaps between the primary and the secondary with high index material. The Gassegrain optics cuts the track length into half and high index material reduces ray angle and height, consequently the incident ray angle can be increased, i.e., the FoV angle is extended. Defining telephoto ratio as the ratio of lens thickness to focal length, we achieve telephoto ratios as small as 0.43 for a visible Cassegrain thin lens and 1.20 for an infrared Cassegrain thin lens. To achieve an arbitrary FoV coverage, we present an strategy by integrating multiple thin lenses on one plane with each unit covering a different FoV region. To avoid physically tilting each unit, we propose beam steering with metasurface. By image stitching, we obtain wide FoV images.
