



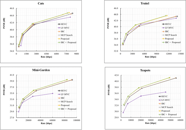
Abstract:Plenoptic images and videos bearing rich information demand a tremendous amount of data storage and high transmission cost. While there has been much study on plenoptic image coding, investigations into plenoptic video coding have been very limited. We investigate the motion compensation for plenoptic video coding from a slightly different perspective by looking at the problem in the ray-space domain instead of in the conventional pixel domain. Here, we develop a novel motion compensation scheme for lenslet video under two sub-cases of ray-space motion, that is, integer ray-space motion and fractional ray-space motion. The proposed new scheme of light field motion-compensated prediction is designed such that it can be easily integrated into well-known video coding techniques such as HEVC. Experimental results compared to relevant existing methods have shown remarkable compression efficiency with an average gain of 19.63% and a peak gain of 29.1%.