



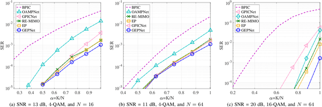
Abstract:Multi-user multiple-input multiple-output (MU-MIMO) systems can be used to meet high throughput requirements of 5G and beyond networks. A base station serves many users in an uplink MU-MIMO system, leading to a substantial multi-user interference (MUI). Designing a high-performance detector for dealing with a strong MUI is challenging. This paper analyses the performance degradation caused by the posterior distribution approximation used in the state-of-the-art message passing (MP) detectors in the presence of high MUI. We develop a graph neural network based framework to fine-tune the MP detectors' cavity distributions and thus improve the posterior distribution approximation in the MP detectors. We then propose two novel neural network based detectors which rely on the expectation propagation (EP) and Bayesian parallel interference cancellation (BPIC), referred to as the GEPNet and GPICNet detectors, respectively. The GEPNet detector maximizes detection performance, while GPICNet detector balances the performance and complexity. We provide proof of the permutation equivariance property, allowing the detectors to be trained only once, even in the systems with dynamic changes of the number of users. The simulation results show that the proposed GEPNet detector performance approaches maximum likelihood performance in various configurations and GPICNet detector doubles the multiplexing gain of BPIC detector.




Abstract:Multiuser massive multiple-input multiple-output (MU-MIMO) systems can be used to meet high throughput requirements of 5G and beyond networks. In an uplink MUMIMO system, a base station is serving a large number of users, leading to a strong multi-user interference (MUI). Designing a high performance detector in the presence of a strong MUI is a challenging problem. This work proposes a novel detector based on the concepts of expectation propagation (EP) and graph neural network, referred to as the GEPNet detector, addressing the limitation of the independent Gaussian approximation in EP. The simulation results show that the proposed GEPNet detector significantly outperforms the state-of-the-art MU-MIMO detectors in strong MUI scenarios with equal number of transmit and receive antennas.




Abstract:Recently, the orthogonal time frequency space (OTFS) modulation is proposed for 6G wireless system to deal with high Doppler spread. The high Doppler spread happens when the transmitted signal is reflected towards the receiver by fast moving objects (e.g. high speed cars), which causes inter-carrier interference (ICI). Recent state-of-the-art OTFS detectors fail to achieve an acceptable bit-error-rate (BER) performance as the number of mobile reflectors increases which in turn, results in high inter-carrier-interference (ICI). In this paper, we propose a novel detector for OTFS systems, referred to as the Bayesian based parallel interference and decision statistics combining (B-PIC-DSC) OTFS detector that can achieve a high BER performance, under high ICI environments. The B-PIC-DSC OTFS detector employs the PIC and DSC schemes to iteratively cancel the interference, and the Bayesian concept to take the probability measure into the consideration when refining the transmitted symbols. Our simulation results show that in contrast to the state-of-the-art OTFS detectors, the proposed detector is able to achieve a BER of less than $10^{-5}$, when SNR is over $14$ dB, under high ICI environments.