


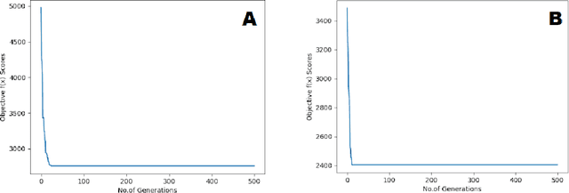
Abstract:One important feature of complex systems are problem domains that have many local minima and substructure. Biological systems manage these local minima by switching between different subsystems depending on their environmental or developmental context. Genetic Algorithms (GA) can mimic this switching property as well as provide a means to overcome problem domain complexity. However, standard GA requires additional operators that will allow for large-scale exploration in a stochastic manner. Gradient-free heuristic search techniques are suitable for providing an optimal solution in the discrete domain to such single objective optimization tasks, particularly compared to gradient based methods which are noticeably slower. To do this, the authors turn to an optimization problem from the flight scheduling domain. The authors compare the performance of such common gradient-free heuristic search algorithms and propose variants of GAs which perform well over our problem and across all benchmarks. The Iterated Chaining (IC) method is also introduced, building upon traditional chaining techniques by triggering multiple local searches instead of the singular action of a mutation operator. The authors will show that the use of multiple local searches can improve performance on local stochastic searches, providing ample opportunity for application to a host of other problem domains.