



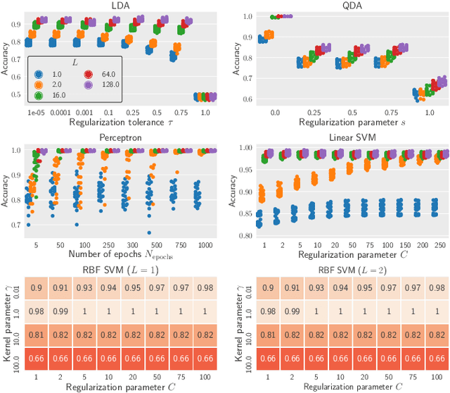
Abstract:Quantum characterization, validation, and verification (QCVV) techniques are used to probe, characterize, diagnose, and detect errors in quantum information processors (QIPs). An important component of any QCVV protocol is a mapping from experimental data to an estimate of a property of a QIP. Machine learning (ML) algorithms can help automate the development of QCVV protocols, creating such maps by learning them from training data. We identify the critical components of "machine-learned" QCVV techniques, and present a rubric for developing them. To demonstrate this approach, we focus on the problem of determining whether noise affecting a single qubit is coherent or stochastic (incoherent) using the data sets originally proposed for gate set tomography. We leverage known ML algorithms to train a classifier distinguishing these two kinds of noise. The accuracy of the classifier depends on how well it can approximate the "natural" geometry of the training data. We find GST data sets generated by a noisy qubit can reliably be separated by linear surfaces, although feature engineering can be necessary. We also show the classifier learned by a support vector machine (SVM) is robust under finite-sample noise.