Abstract:We propose a brain-informed speech separation method for cochlear implants (CIs) that uses electroencephalography (EEG)-derived attention cues to guide enhancement toward the attended speaker. An attention-guided network fuses audio mixtures with EEG features through a lightweight fusion layer, producing attended-source electrodograms for CI stimulation while resolving the label-permutation ambiguity of audio-only separators. Robustness to degraded attention cues is improved with a mixed curriculum that varies cue quality during training, yielding stable gains even when EEG-speech correlation is moderate. In multi-talker conditions, the model achieves higher signal-to-interference ratio improvements than an audio-only electrodogram baseline while remaining slightly smaller (167k vs. 171k parameters). With 2 ms algorithmic latency and comparable cost, the approach highlights the promise of coupling auditory and neural cues for cognitively adaptive CI processing.




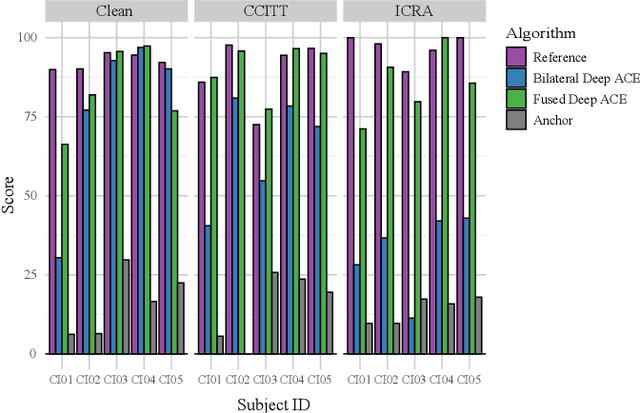
Abstract:Cochlear implants (CIs) provide a solution for individuals with severe sensorineural hearing loss to regain their hearing abilities. When someone experiences this form of hearing impairment in both ears, they may be equipped with two separate CI devices, which will typically further improve the CI benefits. This spatial hearing is particularly crucial when tackling the challenge of understanding speech in noisy environments, a common issue CI users face. Currently, extensive research is dedicated to developing algorithms that can autonomously filter out undesired background noises from desired speech signals. At present, some research focuses on achieving end-to-end denoising, either as an integral component of the initial CI signal processing or by fully integrating the denoising process into the CI sound coding strategy. This work is presented in the context of bilateral CI (BiCI) systems, where we propose a deep-learning-based bilateral speech enhancement model that shares information between both hearing sides. Specifically, we connect two monaural end-to-end deep denoising sound coding techniques through intermediary latent fusion layers. These layers amalgamate the latent representations generated by these techniques by multiplying them together, resulting in an enhanced ability to reduce noise and improve learning generalization. The objective instrumental results demonstrate that the proposed fused BiCI sound coding strategy achieves higher interaural coherence, superior noise reduction, and enhanced predicted speech intelligibility scores compared to the baseline methods. Furthermore, our speech-in-noise intelligibility results in BiCI users reveal that the deep denoising sound coding strategy can attain scores similar to those achieved in quiet conditions.