



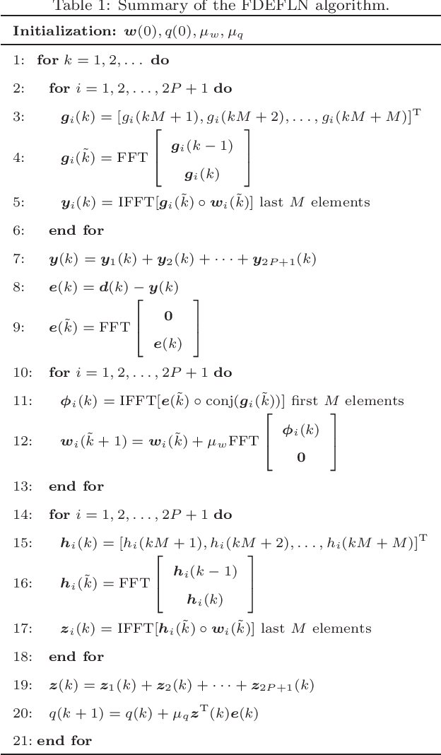
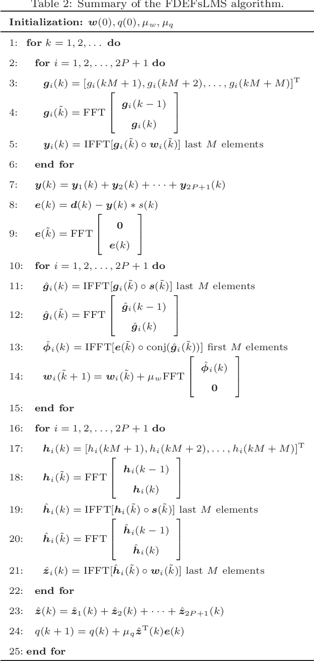
Abstract:The exponential functional link network (EFLN) filter has attracted tremendous interest due to its enhanced nonlinear modeling capability. However, the computational complexity will dramatically increase with the dimension growth of the EFLN-based filter. To improve the computational efficiency, we propose a novel frequency domain exponential functional link network (FDEFLN) filter in this paper. The idea is to organize the samples in blocks of expanded input data, transform them from time domain to frequency domain, and thus execute the filtering and adaptation procedures in frequency domain with the overlap-save method. A FDEFLN-based nonlinear active noise control (NANC) system has also been developed to form the frequency domain exponential filtered-s least mean-square (FDEFsLMS) algorithm. Moreover, the stability, steady-state performance and computational complexity of algorithms are analyzed. Finally, several numerical experiments corroborate the proposed FDEFLN-based algorithms in nonlinear system identification, acoustic echo cancellation and NANC implementations, which demonstrate much better computational efficiency.




Abstract:The exponential functional link network (EFLN) has been recently investigated and applied to nonlinear filtering. This brief proposes an adaptive EFLN filtering algorithm based on a novel inverse square root (ISR) cost function, called the EFLN-ISR algorithm, whose learning capability is robust under impulsive interference. The steady-state performance of EFLN-ISR is rigorously derived and then confirmed by numerical simulations. Moreover, the validity of the proposed EFLN-ISR algorithm is justified by the actually experimental results with the application to hysteretic nonlinear system identification.