



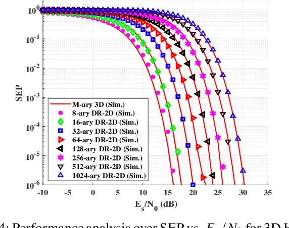
Abstract:This paper proposes a simple and effective method for constructing higher-order three-dimensional (3D) signal constellations, aiming to enhance the reliability of digital communication systems. The approach systematically extends the conventional two-dimensional hexagonal quadrature amplitude modulation (2D-HQAM) constellation into a 3D-HQAM signal space, forming structured lattice configurations. To address the increased decision complexity resulting from a larger number of constellation points, a dimension reduction (DR) technique is introduced, allowing the derivation of closed-form symbol error probability (SEP) expressions under additive white Gaussian noise (AWGN) conditions. Theoretical SEPs closely match simulation results, validating the accuracy of the proposed method. The minimum Euclidean distance (MED) of the 3D constellations shows a minimum increase of 12.14% over 2D constellation for 8-HQAM, reaching up to 160.81% for 1024-HQAM constellations. This significant improvement in MED leads to enhanced error performance. Therefore, the proposed 3D constellations are promising candidates for high-quality and reliable next-generation digital communication systems.
Abstract:Future communication systems are anticipated to facilitate applications requiring high data transmission rates while maintaining energy efficiency. Hexagonal quadrature amplitude modulation (HQAM) offers this owing to its compact symbol arrangement within the two-dimensional (2D) plane. Building on the limitations of the current approaches, this letter presents a straightforward and precise approximation for calculating the symbol error probability (SEP) of HQAM in additive white Gaussian noise (AWGN) channel. The analytical and simulation results align across several signal-to-noise ratios (SNR). In addition, the proposed approximation is effective for accurately estimating the SEP of HQAM in scenarios with slow-fading, including those subject to Rayleigh fading.