



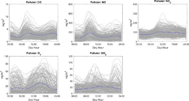
Abstract:The aim of this paper is to investigate possible advances obtained by the implementation of the framework of Fr\'echet mean and the generalized sense of mean that it offers, in the field of statistical process monitoring and control. In particular, the case of non-linear profiles which are described by data in functional form is considered and a framework combining the notion of Fr\'echet mean and deformation models is developed. The proposed monitoring approach is implemented to the intra-day air pollution monitoring task in the city of Athens where the capabilities and advantages of the method are illustrated.