University of Pennsylvania




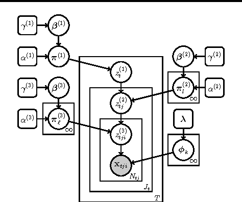
Abstract:Driven by the multi-level structure of human intracranial electroencephalogram (iEEG) recordings of epileptic seizures, we introduce a new variant of a hierarchical Dirichlet Process---the multi-level clustering hierarchical Dirichlet Process (MLC-HDP)---that simultaneously clusters datasets on multiple levels. Our seizure dataset contains brain activity recorded in typically more than a hundred individual channels for each seizure of each patient. The MLC-HDP model clusters over channels-types, seizure-types, and patient-types simultaneously. We describe this model and its implementation in detail. We also present the results of a simulation study comparing the MLC-HDP to a similar model, the Nested Dirichlet Process and finally demonstrate the MLC-HDP's use in modeling seizures across multiple patients. We find the MLC-HDP's clustering to be comparable to independent human physician clusterings. To our knowledge, the MLC-HDP model is the first in the epilepsy literature capable of clustering seizures within and between patients.