



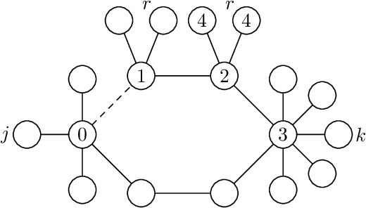
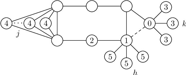
Abstract:Is it always beneficial to create a new relationship (have a new follower/friend) in a social network? This question can be formally stated as a property of the centrality measure that defines the importance of the actors of the network. Score monotonicity means that adding an arc increases the centrality score of the target of the arc; rank monotonicity means that adding an arc improves the importance of the target of the arc relatively to the remaining nodes. It is known that most centralities are both score and rank monotone on directed, strongly connected graphs. In this paper, we study the problem of score and rank monotonicity for classical centrality measures in the case of undirected networks: in this case, we require that score, or relative importance, improve at both endpoints of the new edge. We show that, surprisingly, the situation in the undirected case is very different, and in particular that closeness, harmonic centrality, betweenness, eigenvector centrality, Seeley's index, Katz's index, and PageRank are not rank monotone; betweenness and PageRank are not even score monotone. In other words, while it is always a good thing to get a new follower, it is not always beneficial to get a new friend.
Abstract:We study the problem of score and rank monotonicity for spectral ranking methods, such as eigenvector centrality and PageRank, in the case of undirected networks. Score monotonicity means that adding an edge increases the score at both ends of the edge. Rank monotonicity means that adding an edge improves the relative position of both ends of the edge with respect to the remaining nodes. It is known that common spectral rankings are both score and rank monotone on directed, strongly connected graphs. We show that, surprisingly, the situation is very different for undirected graphs, and in particular that PageRank is neither score nor rank monotone.