



Abstract:The presented study aims to estimate blood pressure (BP) using photoplethysmogram (PPG) signals while employing multiple machine learning models. The study proposes a novel algorithm for signal reconstruction, which utilizes the semi-classical signal analysis (SCSA) technique. The proposed algorithm optimises the semi-classical constant and eliminates the trade-off between complexity and accuracy in reconstruction. The reconstructed signals' spectral features are extracted and incorporated with clinically relevant PPG and its second derivative's (SDPPG) morphological features. The developed method was assessed using a publicly available virtual in-silico dataset with more than 4000 subjects, and the Multi-Parameter Intelligent Monitoring in Intensive Care Units dataset. Results showed that the method attained a mean absolute error of 5.37 and 2.96 mmHg for systolic and diastolic BP, respectively, using the CatBoost supervisory algorithm. This approach met the standards set by the Advancement of Medical Instrumentation, and achieved Grade A for all BP categories in the British Hypertension Society protocol. The proposed framework performs well even when applied to a combined database of the MIMIC-III and the Queensland dataset. This study also evaluates the proposed method's performance in a non-clinical setting with noisy and deformed PPG signals, to validate the efficacy of the SCSA method. The noise stress tests showed that the algorithm maintained its key feature detection, signal reconstruction capability, and estimation accuracy up to a 10 dB SNR ratio. It is believed that the proposed cuff-less BP estimation technique has the potential to perform well on resource-constrained settings due to its straightforward implementation approach.




Abstract:Photoplethysmography (PPG) signal comprises physiological information related to cardiorespiratory health. However, while recording, these PPG signals are easily corrupted by motion artifacts and body movements, leading to noise enriched, poor quality signals. Therefore ensuring high-quality signals is necessary to extract cardiorespiratory information accurately. Although there exists several rule-based and Machine-Learning (ML) - based approaches for PPG signal quality estimation, those algorithms' efficacy is questionable. Thus, this work proposes a lightweight CNN architecture for signal quality assessment employing a novel Quantum pattern recognition (QPR) technique. The proposed algorithm is validated on manually annotated data obtained from the University of Queensland database. A total of 28366, 5s signal segments are preprocessed and transformed into image files of 20 x 500 pixels. The image files are treated as an input to the 2D CNN architecture. The developed model classifies the PPG signal as `good' or `bad' with an accuracy of 98.3% with 99.3% sensitivity, 94.5% specificity and 98.9% F1-score. Finally, the performance of the proposed framework is validated against the noisy `Welltory app' collected PPG database. Even in a noisy environment, the proposed architecture proved its competence. Experimental analysis concludes that a slim architecture along with a novel Spatio-temporal pattern recognition technique improve the system's performance. Hence, the proposed approach can be useful to classify good and bad PPG signals for a resource-constrained wearable implementation.




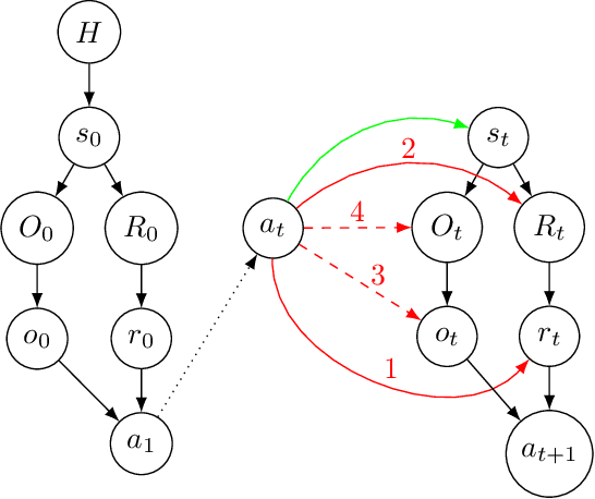
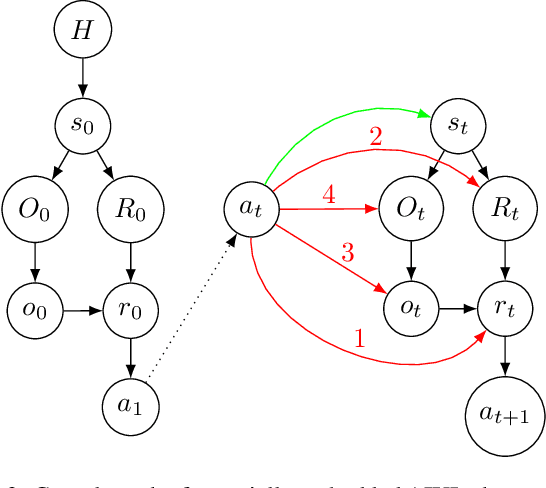
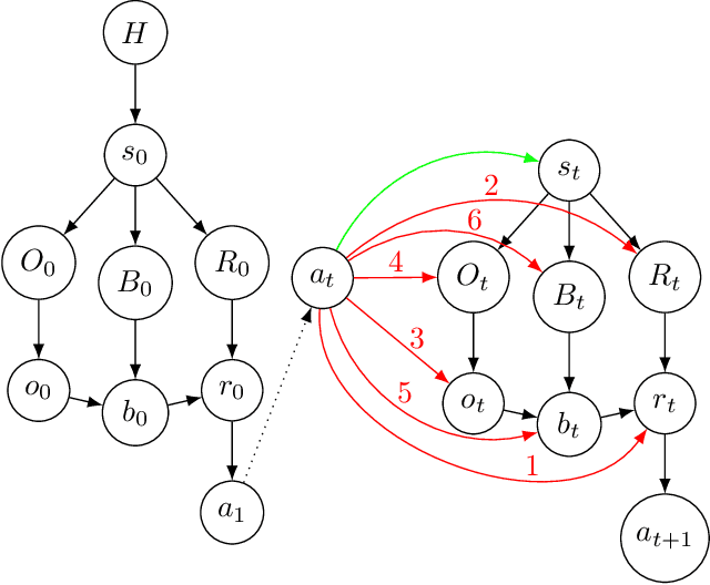
Abstract:$\textit{Embedded agents}$ are not explicitly separated from their environment, lacking clear I/O channels. Such agents can reason about and modify their internal parts, which they are incentivized to shortcut or $\textit{wirehead}$ in order to achieve the maximal reward. In this paper, we provide a taxonomy of ways by which wireheading can occur, followed by a definition of wirehead-vulnerable agents. Starting from the fully dualistic universal agent AIXI, we introduce a spectrum of partially embedded agents and identify wireheading opportunities that such agents can exploit, experimentally demonstrating the results with the GRL simulation platform AIXIjs. We contextualize wireheading in the broader class of all misalignment problems - where the goals of the agent conflict with the goals of the human designer - and conjecture that the only other possible type of misalignment is specification gaming. Motivated by this taxonomy, we define wirehead-vulnerable agents as embedded agents that choose to behave differently from fully dualistic agents lacking access to their internal parts.