Abstract:Low Earth orbit (LEO) satellite constellation is capable of providing global coverage area with high-rate services in the next sixth-generation (6G) non-terrestrial network (NTN). Due to limited onboard resources of operating power, beams, and channels, resilient and efficient resource management has become compellingly imperative under complex interference cases. However, different from conventional terrestrial base stations, LEO is deployed at considerable height and under high mobility, inducing substantially long delay and interference during transmission. As a result, acquiring the accurate channel state information between LEOs and ground users is challenging. Therefore, we construct a framework with a two-way transmission under unknown channel information and no data collected at long-delay ground gateway. In this paper, we propose hierarchical multi-agent multi-armed bandit resource allocation for LEO constellation (mmRAL) by appropriately assigning available radio resources. LEOs are considered as collaborative multiple macro-agents attempting unknown trials of various actions of micro-agents of respective resources, asymptotically achieving suitable allocation with only throughput information. In simulations, we evaluate mmRAL in various cases of LEO deployment, serving numbers of users and LEOs, hardware cost and outage probability. Benefited by efficient and resilient allocation, the proposed mmRAL system is capable of operating in homogeneous or heterogeneous orbital planes or constellations, achieving the highest throughput performance compared to the existing benchmarks in open literature.




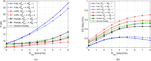
Abstract:In this paper, we consider a prospective receiving hybrid beamforming structure consisting of several radio frequency (RF) chains and abundant antenna elements in multi-input multi-output (MIMO) systems. Due to conventional costly full connections, we design an enhanced partially-connected beamformer employing low-density parity-check (LDPC) based structure. As a benefit of LDPC-based structure, information can be exchanged among clustered RF/antenna groups, which results in a low computational complexity order. Advanced message passing (MP) capable of inferring and transferring data among different paths is designed to support LDPC-based hybrid beamformer. We propose a message passing enhanced antenna and RF chain selection (MARS) scheme to minimize the operational power of antennas and RF chains of the receiver. Furthermore, sequential and parallel MP for MARS are respectively designed as MARS-S and MARS-P schemes to address convergence speed issue. Simulations have validated the convergence of both the MARS-P and the MARS-S algorithms. Owing to asynchronous information transfer of MARS-P, it reveals that higher power is required than that of MARS-S, which strikes a compelling balance between power consumption, convergence, and computational complexity. It is also demonstrated that the proposed MARS scheme outperforms the existing benchmarks using heuristic method of fully-/partially-connected architectures in open literature in terms of the lowest power and highest energy efficiency.